Inici - Temes - Derivada d'una funció en un punt
Pàg. anterior
Pàg. 9
Pàg. següent
 
 

A les pàgines anteriors, la funció y = f(x) relacionava l'espai y amb el temps x d'una partícula en moviment. Parlàvem llavors de velocitats mitjanes entre els instants a i x, VM(a,x), i de velocitat instantània a l'instant a, V(a).

Quan la x i la y d'una funció són variables qualssevol, aquests conceptes reben uns altres noms.

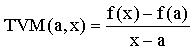
f(x) - f(a) que era l'espai recorregut, ara en general, ho anomenarem variació de la funció entre a i x.

 

La velocitat mitjana entre a i x, VM(a,x), serà la taxa de variació mitjana entre a i x, TVM(a,x).

 

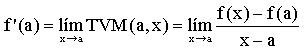
La velocitat instantània a l'instant a, V(a), ho anomenarem derivada de la funció f(x) en el punt d'abscissa x = a, que representarem f'(a). També ho podríem anomenar variació instantània de la funció f(x) en el punt d'abscissa x = a.