PROVA
RESOLTA D'ENERGIA (30-10-01) 2n B
- 1 punt
Un camió de 60 tones porta una velocitat
de 72 km/h quan comença a frenar. S'atura 10 s després,
quina ha estat la potència mitjana de la frenada? (1 tona = 103
kg)
- 1,5 punts
Una bola col·locada en l'extrem d'un
cable de 9,8 m s'utilitza per enderrocar edificis. Si es deixa anar
des d'un desplaçament angular de 37º (respecte a la vertical),
calculeu la màxima velocitat de la bola.
 
- 2,5 punts
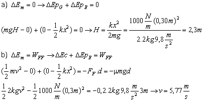
El cos de la figura, de 2 kg de massa, es manté
comprimint 30 cm la molla (K=1000 N/m). Des d’aquesta posició
es deixa en llibertat i surt disparat recorrent una distància
de 3 m sobre el pla horitzontal per després començar a
pujar pel pla de 30º d’inclinació, calculeu
- L’altura
que assolirà si es negligeix la fricció en tot el recorregut
- La velocitat
en començar a pujar, si el coeficient de fricció és
0,2 en tot el recorregut

- 2,5 punts
Volem
fer pujar amb velocitat constant un cos de massa 10 kg per un pla inclinat.
Per a això li apliquem una força .
El coeficient de fregament dinàmic entre el cos
i el pla inclinat és m
= 0,3.
- Quant
ha de valer el mòdul de
si
la seva direcció és paral·lela al pla inclinat
(a =0)?
- En aquest
cas, quant varien l’energia cinètica i l’energia potencial
gravitatòria del cos si aquest es desplaça una distància
de 5 m pel pla inclinat? Quin treball fan
i
la força de fregament en aquest trajecte?
- En el
cas que a fos
tal com es veu a la figura, raoneu si la força de fregament
seria més gran o més petita que per a a
= 0.
- 2 punts
Una massa de 100 g es deixa caure des
de l'extrem (posició horitzontal) d'una semiesfera buida de radi
20 cm. Calculeu la força que fa la semiesfera sobre la massa
en el punt A (posició més baixa), suposant que no hi ha
fricció.

- 0,5 punts
Definiu força conservativa
Una força és conservativa
quan el treball que realitza sobre un cos en traslladar-lo d'una posició
a un altra només depèn d'aquestes posicions i per tant és
independent de la trajectòria seguida.
|